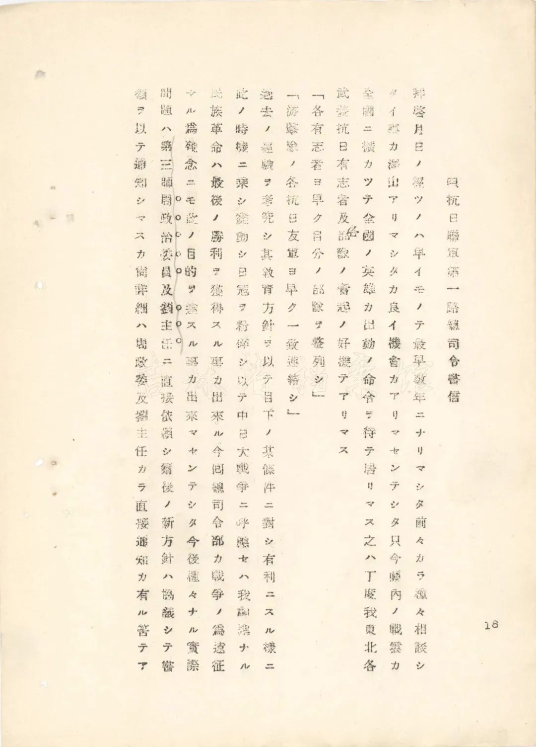
吉林省檔案館2月21日首次公布東北抗日聯軍第一路軍總司令楊靖宇的一封信件檔案。這份形成於1937年七七事變後的珍貴檔案,為研究東北抗聯配合全國抗戰的戰略決策提供了新實證。
此次公布的檔案系七七事變後,時任東北抗日聯軍第一路軍總司令的楊靖宇致東北抗日聯軍第一路軍第三師的一封信件。這封信在1937年10月的一次戰鬥中被日偽劫掠,並譯為日文進行存檔,現存於吉林省檔案館日本關東憲兵隊司令部全宗。

楊靖宇信件日文檔案。(吉林省檔案館供圖)
吉林省檔案館專家介紹,信件雖未標註具體日期,但其中「響應中日大戰」等內容,與1937年7月楊靖宇率部實施「遠征作戰」的歷史節點高度脗合。檔案顯示,楊靖宇在七七事變後迅速調整戰略,明確提出「從速整裝部隊」「聯合抗日武裝」等動員令,部署「鉗制關東軍、呼應關內戰場」的作戰方針。
這封日文版信件檔案雖歷經戰火,但內容完整連續,清晰記載了楊靖宇指揮部隊從遼寧桓仁向清原挺進的作戰計劃,印證了其「擴大抗聯聲威、實現關內外協同」的戰略意圖。

楊靖宇信件日文檔案。(吉林省檔案館供圖)
吉林大學中共黨史黨建研究院院長劉信君表示,2025年是楊靖宇將軍誕辰120周年、殉國85周年,此次公布的檔案對楊靖宇事跡研究,乃至東北抗聯史研究都具有重要的史料價值。
楊靖宇(1905-1940)是東北抗日聯軍主要創始人和領導者之一,1940年2月在吉林濛江(今靖宇縣)壯烈殉國。(新華社記者張博宇、唐成卓)