新華社北京4月3日電 美國總統特朗普2日在白宮簽署關於所謂「對等關稅」的行政令前,現場展示了一張「對等關稅」圖表,其中一欄列有美方認定各貿易夥伴對美徵收關稅的「綜合稅率」,另一欄是美方對不同貿易夥伴徵收的「對等關稅」稅率。
美國政府如何計算得出「對等關稅」稅率?其稅率評估依據為何遭到媒體和專家質疑?
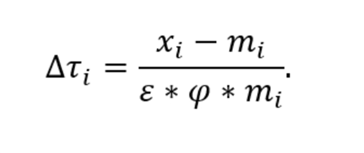
——官方有公式
美方表示,上述「綜合稅率」是把貿易夥伴對美關稅稅率、所謂「貨幣操縱」因素及其他非關稅壁壘累計起來得出的一個數據。這個數怎麼來的呢?美國貿易代表辦公室網站放出了一個計算公式:

乍一看這個公式有點複雜,但是別怕,美方果斷「簡化」了:他們經過所謂核算,將φ、ε兩個系數分別給定為0.25和4,所以這倆數乘積是1,因此上述公式可簡化表達為,綜合稅率=美方出口額-美方進口額/美方進口額。
當然有網友指出,這個公式大多數情況下算出來應該先是個負數。所以姑且理解美方取的是絕對值吧。
然後,美方所謂給貿易夥伴徵收的「對等關稅」稅率,就是在這個數據基礎上「打個對摺」。比如,美方認為歐盟、日本對美貿易實際稅率分別為39%和46%,所以美方對歐盟、日本分別徵收20%和24%的「對等關稅」。以此類推,一份關稅稅率就出爐了。

美國貿易代表辦公室在社交媒體上帖文推薦:「想知道特朗普總統對等關稅稅率背後的計算方法,請訪問我們的網站。」
——專家很崩潰
美國彼得森國際經濟研究所高級研究員、前財政部官員加里·赫夫鮑爾告訴新華社記者,特朗普政府對貿易夥伴的「對等關稅」計算方法「沒有任何依據」,「完全是無中生有」。
美國《紐約客》專欄記者、《大西洋》月刊撰稿人詹姆斯·蘇羅維茨基表示,白宮計算「對等關稅」所依據的「綜合稅率」完全是「胡說八道」,韓國、歐盟對美國徵收的關稅稅率不可能高達50%和39%。
蘇羅維茨基嘗試計算方法後表示,美國的「對等關稅」稅率確實可粗略理解為,美國對貿易夥伴的貿易逆差除以美自貿易夥伴的進口總額。比如,美國與印度尼西亞的貿易逆差為179億美元,印尼對美出口額為280億美元,相除後結果為64%,與美國政府聲稱經過認真評估計算的關稅稅率一致。
頂圖圖說:4月2日,美國總統特朗普在華盛頓白宮就關於所謂「對等關稅」的行政令發表講話。圖源 新華社

